2020年度 の問題

  2021年度の問題

2025年度の問題


過年度問題へ





 2020年 の 問題

4月 の問題

京 都 第1問、第3問 を取り上げました。新3年 生でも複素数については学習済みでしょう。全体的 に昨

年 より難しめになっていると思います。見かけ アッサリで中身の濃い問題が多いと感じます。

<考え方> 見かけ以上に完答は難しい問題かもしれません。

(1)方程式はい じり様がありませ んが、各係数実数であることから解は実数解1個、 虚数解が2個で共

役であることが分 かります。ここが ポイントなのでこの問題で取り込んでおきましょう。複素数が絡ん だ

問題の常套手段で す。

(2)正三角形と ありますので、x3-1=0の 解が1、ωω2を 思い出します。まず、ωω2を t倍して係

数が正の虚数部を2倍 します。それが与えられた辺の長さに等しいことからωtω2taで 表すことが出

来ます。

(3)方程式の形からx軸 方向の移動が入ります。後は、解と係数の関係を使って計算していきます。

4月 の追加問題1

一 橋大の第1問。サービス問題と期待したのですがそうではなかっ た。(1)はがむしゃらにやればなんとかなりそうです。

(2)が難しい。完答率は0に近いのではと思います。

<ヒント>(1)  戸惑う問題。1,10,100,1000,10000,・・・ と割 り算を実行し剰余の規則性を探していくのが

基本でしょう。 キーポイントは、2020×5=10100=104+100か ら 104=2020×5-100を 導き出し上手に使うことです。

しかし、本当に 困ったらわずか11 桁ですので割り算実行です。そうやって解答した人もいたでしょ う。

採点者は笑って満 点をくれたに違い ありません。

(2)  これが難しい。各位の和が2ですので、先頭の100位 の数が2の場合があります。しかし、

10×10982020=5×1097101となりますので、5101が 素数であることより割り切れないことが分かります。

従って、100位 は1と なります。後は、104=2020×5-100 を うまく使っていきましょう。


PS. 2020という西 暦の数をうまく使った問題になっています。色々高尚な方法もあるかもしれません、

しかし、偉そうな 物言いですが所 詮受験の数学な ので す。大学の先生は、高校の指導要領に即した内容での出題が求められておりますし、

それに答えようと してもお ります。ですから、基本的には難しいことをこねくり回さくていいのです。この問題は、素朴にsimpleに 向き

合ってほしいとの 出題者のメッセー ジが込められたよ うな問題だと私は思います。

 問題の解法は既 習事項との類似性 から入るのが普通 ですが、よく練られた問題はその糸口が見いだせないように工夫されています。

そのような問題は 与えられた式の中 にヒントがある場 合が多いものです。現場にいた頃は「与式から探り出せ」とよく言っておりました。


4月 の追加問題2

易しい問題を暫く取り上げていきます。 浜松医大の1番、 何となくサービス問題という感じがします。

Hints>  

(1)(a)(b)  数ⅡBの教科書に公式のように載っている問題。 これを落とした受験者はいなかったでしょ う。

(2)

これも、教科書等 によくある問題。 頂角36°で 袖の長さが2の二等辺三角形用意し、頂角の対辺をxにして相似比を使いました。

(3)  問題の流れから、36°72°を 使って和積の公式、2倍角の公式を適用できるように工夫します。当然、値を求めるには60°90°

の 利用が必須です。この問題での手法は他の問題でも使う場合が結構あるでしょう。



月 の追加問題3

浜松医科大の2番。 面白い問題になっています。

Hints80,40と いう数字 が直ぐに気にならないとダメです。これから、25の素因数分解が絡ん でいるなと予想できるはずです。

(1)(2) 80=24×5=24×(2+2+1) ,40=23×5=23×(2+2+1)と できます。指数の方が2倍 の出方、和の 方が+2を 表しています。80の 方はふる

回数が偶数回、こ れは後攻で終了し 後攻が勝つことを意味します。40は 奇数回のふる回数、これは先攻が勝利を意味します。

細かいことを考え なくても、素因数 分解が解法の全てを語っています。

(3) (1)(2)が 例になっ ていますので、与えられた面積kが(i)奇 数回で出来るか(ii)偶 数回で出来るか(iii)k を超えるかの3通りのどれ

過になります。(iii)は 対象になっておりません。K=2^i(2j+1)で とおいて、この時の 勝つ確率を表します。できないと先攻、後攻の

どちらかは確率0 となります。


4月の追加問題4

浜松医科大第3問。 複素数は2年 生後半で先取をしているようですので取り上げました。

以前にも書きましたが、複素数の醍醐味は商と偏角にあると思います。ここを早く柔らかいイメージで捉えられるよ うにすべきです。

3点 z 、z 、z があるとします。

を中心に、zをr倍してΘだ け回転させるとzに なった。これを式にすると、z2=z× r(cosΘ+isinΘ)で表されます。ここが、

教科 書通りの固い知識のままだと、どうしても複素数に対する苦手意識が抜けないでしょう。相手をr倍してΘぶ んまわす作用は複素数

で表 現するとr(cosΘ+isinΘ)×と いうことなの です。簡単な問題でいいですから、このことが体に馴染むまで繰り返し基本問題に当たっ

てみ て下さい。これに慣れると、複素数問題は自ずと自分のものになるはずです。

(1)  半径 1の 円周角は向かい合う辺の長さになります。

(2)  サイクロイドになります。z =Θ+i、 z 、 zを求める位置の複素数とします。

は中心、zx軸 上の接点となっています。この時 、上の説明から

- =(-{cos(-Θ)+isin(-Θ)} と なります。差はベクトルと同じと思って結構です。


<総 評>最後の第4問 を除き、浜松医科大の問題を取り上げました。3問 とも、教科書の

章 末問題レベルだと思います。この3問 で差がつくとは考えられません。若しかしたら、最後の第4

で ついたのかもしれません。それ でも、数学で合否の差はつかなかったでしょう。合否は他の科目で

決 まったものと思われます。新3年 生向きの問題 だと思われます。 


 5月 の問題1

あと5日 で5月 と なりますが、今月の 問題をアップします。全て易しめの問題です。

ロナで休校の状 態、こんな時の過ご し方が意外な差を生むかもしれません。

最低一度は外気を 吸っ て、リフレッシュを心がけて下さい。

家の中だけだと、気持ちが滅入っていくだけです。

東京医科歯科大の4番。 整数問題、それ程難しくありません。

Hints

問1 当然、背理 法の問題だと直ぐ 判断がつくでしょう。pが 有理数として、p=m/n

(m,n互 いに素)とします。指数計算で、2m=3nが でます。m,n整 数ですので、どう宣言

すればよいか分か りますね。

後半、これも背理 法が良いでしょ う。結論を否定して、p≦3/2p≧8/5がでます。

(i) p≦3/2 (ii) p≧8/5 と分 けて、2p =3を 上手く使いながら指数計算を進めるとよい

でしょう。

問2、問3  指数計算の後処理に時間がかかりそうです。キーは2p =3を 上手く使えるか

どうかです。それ で決まるでしょ う。


5月問題2

札医1番。 サービス問題です。この問題を落とした受験生はいなかった思われます。


Hints

(1)最大公約数 をまず求めないと いけません。求めると、17x+13y=1が でます。後は、

(13+4)x+13y=113(x+y)+4x=113A+4y=1 (A=x+y)A=1,y=-3が でます。

(2)この手の漸 化式の問題には久 しぶりに当たりました。つまり、既習事項0という状態です。

試行錯誤を何回か 繰り返しました。 逆数をとれば等比数列に持ち込む問題になります。

(3)これは、丁 寧な題意の吟味が 必要で結構難しい。正直、苦手です。


5月問題3

神戸大1番。 これはサービス問題、完答率は90% を超えたでしょう。

<Hints>

(1)  イメージ的に分かると思いますが、この結論は覚えておくと良いでしょう。

f(x)=(x-α)2 (x-β)+ax+bと いて、f(α)=0f'(α)=0か らでます。この性質は一般化(n次)

が直ぐできます。 一度は確認してお くべきです。

(2) f(x)=(x-α)2 (x-β)・・・ ①です。β=α+2は いいでしょう。①をこのまま微分し、

x≠αを断ってxを決めると良いでしょう。

(3) f(x)=x2(x-2)となりますので、f'(x)を 求め作図し積分するだけ。



6月 問題

筑波 大の第1,2,3問 を取り上げました。数ⅠA、 数ⅡBの 問題は久しぶりの気がします。それが取り上げた一番の

理由 です。問題の配列は、第1問から第3問 まで数Ⅰ・Ⅱで第4問 から第6問 までが数Ⅲの問題になっています。

どの 問題も癖のない良問と言えます。レベルは、章末問題のAぐ らいでしょう。

筑波大第1

 

Hints

(1)(2)  半径をrとして面積に持ち込むよくある問題。絶対落としてはいけない問題です。出来 れば、目の子で結論

が出せなければい けません。目計算 の力は数学の力に繋がっていきます。(2)は 方程式しかなさそ う。

(3)  計算onlyだ と綺麗にはまります。図形の性質を使うのではという感覚を磨くことです。


筑波大第2問

Hints

(1)見た感じベ クトル扱いだろう と予測できます。

(2)三角方程式 の問題だと誰でも 気づいたと思います。丁寧に計算を進めるだけです。

**2問 とも基礎的な問題に毛が生えた程度の問題になっています。今時期、現役生にぴったりの問題 と言えます。


筑波大第3

 Hints

(1)図を描くと 後は目計算でもで きる問題です。絶対に落とせない。

(2)ベクトルを 使いたくなるよう な問題。これも、(1)と同じでもって行きかたを図から読み取り ましょう。

   全体的な傾 向なのか、図形を 通して適切な計算処理を求める問題が他大学にも多いようです。

(3)等比数列の 和の問題。定数を かけて1個ずらす問題になっています。



7月 問題

今月は千葉大の問 題、第1問 から第5問 を取り上げました。どの問題もオーソドックスな良 い問題となっています。 レベル

的には章末のAぐ らいでしょうか。今時期、新3年 生にとっておきの問題だと思います。

第4問目は、数Ⅲ回転体の問題ですので割愛していきます。問題数が11問 と多いので8月 分にも回すことになるでしょう。

千葉大は、今では 首都圏の大学と なっています。したがって、東大で教鞭をとっていた研究者が多いの が特徴です。










Hints> 落とせない問題、良問でしょう。

(1)ある数が4の 倍数は下2桁 が4の倍数に同じです。証明もできるようにし てお くべきです。

(2)場合を調べ 上げるしかなさそ う。基本的な問題です。









Hints

数Ⅱの問題、章末 レベルの問題で す。今時期でも、必ず解けなければならない問題です。











Hints> 良問でしょう。

(1)(2)辺の 共有と点の並びが ヒント。まずP1 Q1 が 共有辺、四辺形はP1P2Q2Q1と いう点の並びに従って作図をすることです。

(3)これが少し 難しい!








Hints>  この問題が一番易しいかも。一見してベクトルの内積がらみで行けそうと気づくはずです。

ADB=90°と ありますのでDを 原点に取ることが肝要。後は一本道です。ほとんどの受験生が解いたも

のと思われます。


8月 問題

今月も千葉大の問題。第6,8,10問 と選びました。どれも癖のない良問でが、先月と異なり少々難しいでしょう。これらが抵抗なく解けたら

超難関大を目指すべきです。

  (2)(1)を 参考にし て、n整 数の時、3n-1,3n,3n+1

 の場合分けに気付くかどうかで決まります。

 (1)を よくチェックすると、最後の回の数がどんな来かた

 になっているかが分かります。n回 ではそれを利用すると

  上手くいきます。

 

 







 

少 しごちゃごちゃしておりますが着想はそれほど難しくない   

で しょう。

                              

 






                                                                                                                                

                   背景には、初等整数論があります。

                   少々難しい!時間をかけて損のない問題です。



9月 問題

京都大第2問  

(1)は 昔からよくある問題。帰納法での証明に気づくにはそれほど時間が掛からなかったで しょう。

こ の問題は落とせませんが、計算の都合上少し変形しないとなりません。Pαnと おき、まず

PP成 立を示します。PP成 立でP成 立を言います。その後、n=k,k+1成 立を仮定してn=k+2成 立を示すことになります。

現 役生では、まだ帰納法を固いイメージで捉えている人もいるでしょう。 ですが、慣れてくると意外と柔らかいと思うようになります。

こ の問題では、PPを 使ってP成 立を確認をしておくと、PPk+1が 成り立つときPk+2成 立なら、PPを 使ってP成 立

を 確認がありますのでn=1か ら成立の連鎖が起こるのです。このような帰納法の変形にも早く慣れて下さい。

(2) (1)利 用 と、lim(sinΘΘ=1Θ--->0) を使います。発想が難しいかもしれません。このレベルは出題が大学の先 生であるが故とい

うことになります。背景には数論があ ります。面白いですね!


阪大第1

 

何 処の 大学であれこの問題を落としては勝負にならないと思います。「y=f(x)と し て対数をとる 」が常套手段になります。

対 数を 取って微分することを対数微分と言いますが、日の浅い現役生はまだ慣れていないでしょう。数Ⅲの微分は、積の

微 分、 置換し て微 分、対数微分 が出来れば全てができるようになります。さらに、dy/dx=dy/dt×dt/dx が文字の掛け算と同

等 であ ることに慣れて下さ い。

(3)  受験 間近では、計算無しで概略程度はイメージできるようになるべきです。増減表から 離れることが肝要です。勿論、

増 減表 を要求されたらそれに答えるのも必要です。



10月 問題

東大(理)第3問   (1)、(2)は平凡な問題です。(3)が少々難しいかも。ただ、(1),(2)を ものにできないと合格は

無 理でしょう。


(1) 結果は √付きの分数関数になります。分数関数で単調減少が示せます。

(2) これも易。 √の中を微分すると良い。

(3)(1),(2)を 使って、増減表を回避し、グラフの概形をとらえる問題になっています。この手の類似問題は少ないと思われまが、

    共通テス トでは増えていく と思 われます。専門領域でも同様なチェックは結構します。増減表だと煩雑になりすぎますので

         迂回して概形を 捉えさせようとしているのです。良問と言えるでしょう。完答者は50~70%程 だったでしょうか?



11月 問題

東 大(理) 第4問。

(1) それ程難しくありません。a3,2,a4,2ぐ らいでサンプルを取り項の様子を見ましょう。(s+t+u)^2,(s+t+u+v)^2の 展 開式から,こ れらの応用

だ と分かるは ずです。受験生の多くはこの問題を完答したでしょう。サンプルから類推、推論と進むとそれ 程難しくありません。

基 本的ないい問題です。

(2) 係数an,kがどう やって決まっていくのかが分かっていると何とかなる問題ですが結構難しいかも。これもサンプルを取 り調べると類推から推論へ

と進める でしょう。

ただ、項 の展開から係数が出来上がるプロセスを自分なりに作り上げていないと制限時間の中で解くことは難しいでしょう。

(x+1)(2x+1)(3x+1)=1+(1+2+3)x+(1*2+1*3+2*3)x^2+(1*2*3)x^3などから、各項の係数を2のべき乗にすると上手くいくのが分かります。

fn+1(x)/fn(2x)は気が付くまで時間が掛かるかもしれません。



12月の問 題


一橋第3問 か ら第5問 まで。かっ ては数学ⅢCま で範囲であったが、数ⅡB までで全て解ける問題となっています。

出 題範囲に変更があったのかもしれません。 問題のレベルは易化の傾向にあるようです。




ベ クトルの問題。最大値は直ぐ気が付くはずです。最小値もそれほど難しくありません。円は原点対象ですので、

A(1,0),B(cosαsinα)C(cosβsinβ)と置いても一般性は失いません。後は、三角関 数の加法定理(倍角含む) の応

用です。基本は、A^2≧0からk(定数)としてA^2+k≧k成立を使います。粘って解いてみて下さい。いい復 習になる

で しょう。

P.S 例えば、A(0,1)などとy軸上に取ると上手くいきません。確認してみ て下さい。計算は手計算優先では なく、

目 計算が先行すると思って下さい。当然、この時期目計算も正確なものでなければなりません。


まず、y=|t-x|の グラフから入ります。次は、2-x,2+xxの大小から場合分けとなるでしょう。

最後に、相加相乗平均で処理するよ うに問題が設定されています。一橋としては易問になるでしょう。落とせない問題です。


(1)は いい でしょ う。

(2) p5を 求めp2p1 p3 p2 p4 p3 p5p4を 求めるとpn+1 p 絶 対値付きで1/2n+1 となることが予想でき ます。

n=6で 分母 は100 を越えますから直接求めることも許されるでしょう。褒められる言い方ではありませんが、問題は舐めて解いた方

がいい!




1月の問 題

共通テストへ 向けて気 の抜けない日々が続いていることでしょう。間もなく年の瀬から新年のへと、コロナ禍でも時の移ろいは確実に

進んでいきま す。今の 努 力が、3月 晴れへと報われることを願ってやみません。共通テストに代わりましたが、問題の本質は変わりません。

小手先の対応 力など無 用です。改めて基礎部分の見直しに時間を割いて下さい。それが好結果を生むはずです。

〔Ⅰ〕は横浜 市立大 (医学部医学科)の問題。見て直ぐ分かりますがサービス問題です。〔5〕 と〔1〕は広島大のものでが結構難しめ

の問題になっ ていま す。


(1)式 変形 もあるでしょう が、相反方程式と呼ばれる ものです。(2)連 立方程式扱いで十分でしょう。絶対値1と 向きに注意です。

優しいですが 面白い問題で す。(3) 表現に惑わされないで下さい。点から点へと移る道は1本 しかありません。

(4) 漸化式となるのは予想できますが結構難しい。



(1)から(3) は基本的な良問と 言えるでしょう。(4)は難しいかも


良問です。共 通テストの試行 問題を みましたが、原理原則の部分を聞いてくる内容になっていました。

公式の導出と 教科書の例題を しっか り解いてみて下さい。



2月の問 題

共通テストも 終わり、多くの 受験生は2次 に向けて準備を進めているところでしょう。共通テスト、見た感じ

センターとそ れ程の違いを感 じることはできませんでした。ただ、AIな どの急速な発展から、確率論的な世界

観が重要視さ れるようになっ てきております。従って、統計分野は難化していくでしょう。

今月の問題は 下の3問です。


京都大第3問

何処から手を 付けていくべき か判然 としません。しかし、全て原点からのベクトルになっています。

当たり前です が、最初の2条 件から ベクトルOA,OB,OC1次 独立が分かります。空間は1次 独立なベクトル

3本 で足りま すか ら、ベク トルODは ベクトルOA,OB,OCで表せます。これを与条件に代入 で連立方程式3

を作れま す。

今年度のベス ト問題の一つで す。困ったら行き詰まったら基本に立ち返ることの重要性を教えてくれる問題です。


東 北大第5

(1)、(2)は 易しい。落として はいけない問題です。


東北大 第6問

<Hints>

*こ の積分 は、同じ積分区間 で∫(cos)^mdx=∫(sin)^mdx が成立が前提になっています。この証明 を

ここでもう一 度確認してみて 下さい。ただ、cosx を右にπ/2 の移動でsinx になり、面積はこの区間で等しい

ことからイ メージできると思 います。x=π/2ーtの 変換は忘れてはいけません。

*(1)(2)はこの手の 基本、(3)は やや応用になります。(4)が 少々難しいかも?





3月の問 題


私 大入試が始まっています。慶応大、同志社大の1番 と早稲田理工1,2番 を取り上げました。ザーッ ト見た感じ、慶応よりは

同 志社の方が難しく思えます。時期が時期ですので、取り敢えず手を付けたものをUploadし ま す。他は後日に取り上げてい

き ますので続けてご覧くださ い。ここでは、同志社が一番とっつきにくく早稲田が最も易しい問題だと思います。


慶 応大 第1問


(1)  典型的な問題、tの 値がどんなに変化しても=0が成立ですのでtの恒等式になるからです。tの2次 式にしてそれぞれ

の 係数を0が必要十分ということ になります。100% 解けなくてはいけません。

(2)  まず傾きの式を求めます。最終的には分母が2次、 分子が1次の分数式になります。この最大最少を求めるに は数3の微

積 適用でしょう。ただ、手っ取り 早くイメージ化するには帯分数の形にするのが良いでしょう。t=-1/2、 y=2が境界値に

な ることが直ぐ分かります。併せて、±∞の ときy=2の上 から近づくか下から近づくかは帯分数の形から予想できます。こ

れ らを参考に、微分で極値を探せばよいのです。増減表まではいらないでしょう。

(3)   (1)と傾きは連 続関数に なっていますので領域Sは容易に求められます。


同 志社大 第1問


(1)  ~93個の整数で3の 倍数を作るには、素朴にx+y+z=3nと してやってみるのもいいでしょう。ただ、時間が掛かり

過 ぎますので剰余類を使います。K={3,6,9},L={1,4,7},M{2,5,8}と分けましょう。K,L,Mの どれも3個同時に同じ類

か ら3個 取って和を取るとどれも3の 倍数になります。従って、3!×3通 りとなります。後は、K,L,Mか らそれぞれ1個取って

和 を取ると3の 倍数になります。

(2) 中心が原点で120°の 回転が入りますのでωの問題だと当然思うことでしょう。どこかで述べ ましたが複素数は理工系

に とっては必須の数学になりま す。極端な話、複素数(複素解析)が分からなければ一流のエンジニアにはなれないと思っ

て 下さい。あらゆるテクノロジーの基礎数学になっているので す。特に、ωは 中でも重要なカギを握っています。これと留

数 解析(大学12年 で習います)が対になってカリキュラムが組まれています。留数解析は難 しいですよ。

 ω を掛けることは、相方の複素数の絶対値を変えないで120°原 点周りに回転させることを意味します。これが体にスム

ー ズに馴染むまで悩んでください。 ω120°ω^2240°の 回転になります。さらに、1-ω^3=(1-ω)(1+ω+ω^2)=0

が 重要。β=αωγ=αω^2と おいて計 算するだけです。



早 稲田理工 第1問、2


[Ⅰ]    易問、教科書の例題レベルの問題。絶対落としてはいけない問題。

(2)   x軸 を引き、αβの 角を基本に従って忠実に作ることで足ります。


[Ⅱ]  早稲田にしては易問。落としてはいけない問題でしょう。

(1)  割り算しますか?

(2)  2021=6×336+5 の変形だろうと予測できます。x^(×336)/f(x)の変形に気づけばすぐ解けま す。(1),(2)は簡

単、 サービ ス問題。

(3)  やはり少し難しいかも。ただ、x^2-1と 問題作成の痕跡は残っています。n=3mと して因数分解して、どちらを相手

に するか考えてみて下さい。そ して、帰納法でいけます。


月 の追加問 題

い つも通り名大の問題から入ります。全体的に易しくなった気がします。次に東大の問題、これも例年に比べ(1)は 取っつき易い

問 題になっていますが(2)は難しい。よく練られている問題です。最後に京大の2問 を取り上げました。


名 大1


名 大の問題としては易しい。サービス問題だと言えます。範囲も数ⅡBま での問題となっています。(1)(3)、易しいで

す が基礎的な力の差が出る問題になっています。




名 大2


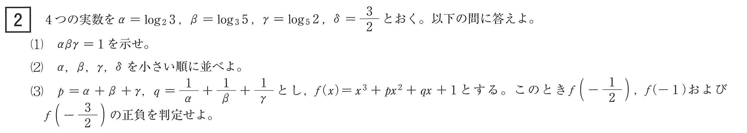
(1) 底と真数に注目すると、(2,3)(3,5),(5,2)=>(2,2)となりますのでごく当たり前のことで す。

(2)3=2α,5=3β,2=5γと 指数の形に直すとβは 1より大でγは1より小が直ぐ分かります。δ1.5ですから、

γ 最少に気付くのには時間が掛からないでしょう。後は、αβδの 大小関係です。教科書通りに、α-βを 底3

で とりましょう。分子が1-log32log35 となるはず、log32,log35 は自分で近似値を探 すことになります。上手く

処 理して下さい。

(3)f(x)=x3 +(α+β+γ)x2 + (αβ+βγ+γα)xαβγ(x+α)(x+β)(x+γ)と 変形できます。一 番手の付けやすそうな

f(-1) からいってみましょう。



東 大1



(1) どうということのない問 題。

(2) これが難しい!!! (1)で 点(a,b)の 存在領域が出ていますので、それを利用せよということなのでしょう。

C b,aで 整理すると、それはaを変数とする直線になります。「領域を通る=代 入でy切片が出る」は、大切な基本事項

で す。意外と素朴な問題ですね、そう感じさせないところに作り手のプライドを感じます。



東 大2



(1)aγ まで複素数です ので、αβγの 係数にiが きても構いません。

(2)第1(2)同様、ど う攻 めるか悩ましい問題です。


京 大1



問1 平面は 3点 があれば決 まります。先ずは法線ベクトルを求めましょう。点Q(k,l,m)と して中点Mを求めましょう。

Mを 平面の式 に代入でお仕舞 です。

問2 何か、 分銅と天秤ばか りの問題を思い出させます。

1,2と も に落とせない問 題。


京 大2

これも易しい 問題。やること が決まっていますので数Ⅲの基本問題と言えます。これも落とせない問題です。

第1,2問は 受験生には基本 問題。文系教科が強ければ、数学が多少苦手な人からも合格者が出てくる逆転現象がかなり

生じたのでは と思います。




2021 年度の問題

4月の問題

早 稲田(教育)の 問題から3問。 サーットと見て、易しそうに見える第2問 が難しい。第3(3)も受験生を苦

し めたの かもしれません。ただ、難しめの大学受験を考えている人は、現段階で半分(除 く第2)は 解き たい

も のです。


(1) この問題の解法には関係がないですが、基礎となるところは、係数が実数のとき方程式は共役な複素数を解に持ちます。

(2) 空 間の直線の式を求め, ABの 内分 点を求め、その点からz軸におろした直線の切 口の半径を求めます。切 口となる円の

    面積を求め、極薄のオブラートを0~1 まで積み上げるイメージ、それを積分で表すといいのです。

(3) 現役生には、早くこの手の問題が解けるように数Ⅲの自学自習を勧めます。理系は数Ⅲで勝負が決まるようなもんです。

(4) 問題文、後半の処理が要注意の問題



3 問の中で一番手強い。(1)から受験生にはきつめの問題だったでしょう。完答率は 30%を切ったと思われます。



(1),(2)  それ程難し くないでしょう。(3)が少しやっかいか?




5月 の問題

名古屋 大、後半の2問 を選びました。共に難しめの問題になっています。3番 は難しいというか煩わしい問題になっています。

正直こ の手の問題は苦 手。暇を見てコメントを挟んでいきたいと思います。4番 はガウス記号の問題。ガウス記号は定義通り

だと固い印象になりますが、とどのつまりは切り捨て関数だと思えばいいのです。(4) 以外はガウス記号のベーシックな問

題と言えます。(4)はあまり見かけない問題で名大らしさが出ている気がします。

今年度、理系でも問題1から問題4まで数Ⅲの問題は1問 もありません。異様な気がしま すが、やはり問題は優れて面白い。



(1)これは落せない問題。aの 小数部分が、1/2を越えるか超えないかで整数値が変わりますの で、0≦a<1/2a=1/2,1/2<a< 1

   と場合分けが必要と気づくはず。新3年 生でもこ れだけは出来るようにして下さい。

(2)結果的に、[an+1/2]≧an成 立 が言えればよさそう。3[an+1/2]≧3an3[an+1/2]-2an≧3an-2an=an から an+1>an が 期待

         できそう。an-[an]≧1/2anの 小数点以下が1/2以上である ことを示しています。一般の形でいいでしょう、a=k+l(kは整数、

   lは 小数点以下の部分で0.5以上)とおいて、an-[an]≧1/2  & [an+1/2]≧an  が示せそうです。

(3)まず、与式と与条件からan>[an+1/2] と 式を整理しましょう。(2)で もそうですが、困ったら具体的な数字でチェックしてみる

   ことも一つの方法。a=0.2 or a=0.7 で調べる と0.2の 方が満たすのが分かります。後は(2)と同じ で、a=k+l(k は整数、

   lは 小数点以下の部分で0.5未満)とおいて最初の与式に代入してみましょ う。an+1=3[an]-2anは 直ぐ出ます。この式に再度

   a=k+lを代入すると、[an+1]= [k-2l]が でます。後は、k、lの不等式の問題になります。

(4)[an+1 ]=[an ]-1は、 数列{[an]} が等差数列となることを示しています。このままで第n[an]を求めましょ う。次に、これを

   an+1=3[an]-2anに 代入すると通常の数列{an}に変わります。後は、n付 きの漸化式の問題になります。





    6月 の問題



HPを弄りすぎて壊したところにHP作成の依頼が飛び込み、正直こちらに精力を注いでい まし たのでアップロードが今日(69日)

に なってしまいました。

東 北大(理)の第1、2問を取り上げます。思いつくままの考えも載せていきます。

これはどうでしょう。サービス問題の域を出ないような気がします。

場合分けになるでしょう。まず、(i)a=0 で吟味ですか? y切 片が+1なのでb≧0になります。

(ii)a≠0 とき、虚数解を持つか持たないかで2つ の場合に分かれます。後者の時 は]a>0,a<0と 分ける必要があり そうです。





h1:一見ベクトルの問題に見えますが、直ぐ手を動かさないで解答の概略をおさえ ましょう。

   まず、点Bを 原点にとったほうが良さそうです。

h2:比の与えられ方から辺の長さが直ぐBA,BCで 表されます。

h3:頂角A,B,Cの どれを使っても面積はSに なります。従って、△BPQ、 △CQR、 △APRS付 きで

   直ぐ出ますので、TSからこれを引いたものになります。

現 役生でも、h1~h3 ぐらいまでなら読み取ることは困難でないはずです。このような姿勢は方 法論

としていつまでも大切にして下さい。

(1)T/S=s とします。 s=ab-(1/2)a-(1/2)b+1 /2  と なります。

(2)上の式をどういじるかになってきました。sa,b2変 数関数、こんなと きはどちら かを定数に見るのが

常套手段。bを 定数にみましょう。sa1次式、直線になります。直ぐ思いつく のはs=(b-1/2)a+1/2(1-b)の変形で しょうか。

b- 1/2が 傾き、1/2(1-b)y切 片とみなせます。が、しかし、これは一般形y=ax+bの 形なので取扱が難しくなります。次 の変形を考えてみていて下 さい。 6/15

昨日の続きです。  s=(b-1/2)(a-1/2)+1/4 とします。今度は少し意味が違います。b-1/2を 傾きに見なしたとき、定点(1/2,1/4)を 通る直線になります。

b-1/2に 関係なく、sa=0で 最大値をとりa=1/2で最小値を取ります。(b-1/2)(a-1 /2)の動く範囲をそれぞれ求め、(b-1/2)(a-1/2)の 範囲を出吸方が手っ

取り早いですが、ここでは方針を直線に見なしていくことに焦点を当てました。 

(3)T/Sの逆数S/Tが整数となる。。。。とある。素直に反応しましょう。                                

(2) から、2<S/T<4となりますのでS/T=3となります。(1)の式に代入して、1/3ab-(1/2)a-(1/2)b+1/2 よ り、2pq=6-3q-3p+3pq  と出ます。

これは、既に既習事項となっているはず。整数問題独特のもっていき方になります。 新3年生でもできないとダメ、これを機会に

100%仕込んでおいてほしい ところです。  

後日に、 6/18

 

    7月 の問題

*1   この手の問題は、直ぐ手を動かさないで余式の持っている情報を掴むことから始めます。
2
項 は共に奇数次ですから原点対象になります。
*2 
現 役生でもすでに数Ⅲで既習済みのところでしょう。蛇足かも知れませんが、直線の傾き
が 与えられていますので、y切片の最大値・最小値を求め直線群の上下を抑えてみるのもいい
か もしれません。また、後日に 6/25

*3  (1)について
y=x^3-2x
y=x+kの 連立方程式を相手にすることになります。注意点は、x=aが 一つの解だと
いうことです。これを上手く使わないといけません。標準的な問 題
*4
 (2)に ついて
図から入るのがいいでしょう。*2の利用になります。Sのx座標の値が動く範囲を 出すのが少し
難しいかも、焦って失敗ケースが結構あったのではと思います。.。間違いやすい問題です。6/30
*5  (2)
が出来ればここはそれ程でないは ず。



*1 (1)
一つの直径と両端点以外の円周上の点から直角三角形ができま す。シンプルな考え方が
通用します。教科書にある問題と言えますが良問でしょう。
*2 (2)
円周上の一つの点に対して3個 の2等辺三角形が作れます。 (1)と同じで良問でしょう。
ただ、共に教科書レベルの問題。この2問 を落とすと合格は無理だったでしょう。(1),(2)
難しくありませんが、数学的なセンスと処理の仕方を打診するに は最適な問題と言えます。
*3 これぞ東北大オリジナルの問題でしょう。7/2

    8月の問題


今月も東北大の問題2問 を取り上げました。これで東北大(理系)は全問取り上げることになります。先月までの4問 で感じた事は、

部分的 に間違いやすい 所があるものの、全体的には難問と言えるほどの問題ではないと言うことです。4問 ともこれといった癖もな

くオー ソドックス良問 と言えます。理系を目指す生徒なら、受験先が何処であれ一度は解いておくべき問題と言えるでしょう。

7月と 同じように、そ の都度のuploadとなります。これからはこのスタイルで行きます。



(1)  ベクトルの扱いで、OB=kOA  としてやってみましょう。z^2=kz、z=x+yi で行けます。
次 に、偏角を使った方法でやってみましょう。このとき、どこぞで何回か触れましたが、偏角の
硬 いイメージを早く捨てる事です。この問題では、結果的に上とまったく同じになることが分かるでしょう。
そ うなれば占めたものです。 7/22 つ づく

(2)  基本の問題。2辺が等しいことをいえばよいのです。AB:z^2-zとベ クトル扱いで構わないことに早

く 慣れて下さい。もっと問題を易しくして、正三角形の頂点になるようなz全体なら どうなるでしょう か?

考 えてみて下さい。 8/10 つづく


y=e^xは 級数展開するとy=Σx^n/n!(n=0~∞) と表せます。n+1項 め以降を積分で表したものになっています。

    9月の問題


北大の問題を取り上 げていきます。




まずは第1問目、一見してベクトルの問題だと分かります。サー ビス問題の雰囲気?現役生でももう解けるか
もしれません。やってみましょう。8/23

  2025年 度の問題

ほぼ4年 間のブランクでした。頼まれ仕事が入って時間的に余裕がなくなり此方の方に手が回らなかった。この間、

入試問題から遠ざかっており ましたが、気が付 いたことはコンピューター関係で統計の必要性にかられ、それを中

心にカリキュラムに変更が見 られるようです。 自分は統計分野をそれ程やってきませんでしたので、これらの問題

は取り上げることはないと思 いますが悪しから ず願います。また、解説は出来る限り数式を使わずに頭の中にイメ

ージを描きながら解いていくような語り口で やっていき ます。よろしく!(yazawa風)


7月の問題   神戸大の問題から

まず定番の問題から入ります。サービス問題で 数ⅡBの問題、落とすわけにはいかない問題。1点 でも落とすと合格

は無理だったと思います。









注意:「目計算(もくさん)」を「目 計算(めけいさん)」と呼んで下さい。此 方の方が、概数だけでなくグラフの予

想等を含め、問題を解法していくと きのaboutさをよく表現しているか らです。

1:f(x)の グラフは、3年の今時期でイメージ化が出来るようになってほ しい。
2:f(x)は、x(x+1)(x-1)ですから点(-1,0)で 交点をもちます。g(x)はkに関係なく点(-1,0)を 通ります。

3:g(x)4個の交点をもつ?極大値が2個 で4個の交点を持つためには,g(x)は 点(-1,0)を通りますので、左から2つ 目

の上に凸な部分と接すればよいので す。接点の計算は確実にできるようになって下さい。











(1) にルートをかぶせると左辺がでます。右辺は からでます。

(2)3n は計算すると(計算しないと何もできなさそう)、2n- となります。これを とします。

   n< <n+1ですか ら、n-1<2n- <n が でます。したがって、 (もっ て行き方がピンとこな

い時、3<3.4<4な どの具体例で当たってみて下さい)からでます。

(3)背理法か? のとき を満たすm,nが あったとする。 から で左辺

を直して、    がでる。

このとき からこれは不成立。


次 は問題3といきたいところ、避けて次の問題4に行きます。ベクトルの基本問題、ただよく作られています。

こ の問題も落としてはいけない問題です。受験者の大半が完答したものと思われます。

 









(1)  定番の問題,この手は100% 出来ないとダメ。 と置くのが絶対の手。未知数の個数は

4個 になりますが、自分が与えたk消 去という方針で進めます。最終的に0=-3と なって矛盾が出ます。

(2)  この辺りが確実にできるようになると点数も伸びていきベクトルが得意分野になります。

H(a,b,c)と 置きます。点Hは直線ABの 延長上にありますから と置けます。これから

a=k-4,b=k-1,c=-k がでます。

とって、k=s+2が でます。これから、a=s-2b=s+1c=-s-2 となります。

(3)  で S より 最小値は となります。














(1)これはちょっと難しいかも。どこから手 を付けてよいか分からない雰囲気。こういう時は,

無責任な言い方だが少し横着な気持ちで問題文を解釈 し た方がいい結果を生むようだ。

カギは …①にありそうだ。定数になるのだから微分したら0になるよと言っている。ここに

気付いて解答しましたとしたなら半分は貰えるでしょ う。難しいのは閉区間[1,t] で成立を示せるかだろう。

①を なるxで微分すると、分子はf'(x)x-f(x)と なり与条件から=0となる。したがって、(1,t)

で定数となる。f(x)連続よりf(x)/xも 連続、f(x)/x )の値をcとするとf(1)/1f(t)/tは 共にc

となる。

(2) だから、h(t)+2,h(1)=0t=0代 入で    から

後半:閉区間[1,t] で 

解答後:問題5番、正直最初は戸惑いがありま し たが、解いてみて問題文の主旨さえ把握できれば完答可能と思いました。

問題に、特にこれといった専門的な背景はなく 教科書レベルで良く練られた問題です。

以前も何処ぞに現役生は数Ⅲで勝負すると書き ましたがこの感想は今も変わり ません。そのためには、時間のない現役生

は教科書を何回もやることだと考えます。そう することにより、物理数学に近い 独特な雰囲気が好きになれるはずです。

問題3はずししました。特殊なグラフで完答者 は極めて少なかったと思 われます。増減表の大切さが強調されているよう

に感じ取れますが、実は増減表そのものに意 味はありません、これに執着しすぎないようにした方が良いでしょう。

この問題後日取り上げます。


20250820 次は京都 大の問題を取り上げます









問1:|z|=2、中を通分してf(z)= とおく。z=x+yi  として、色々やっていくと

f(z) ・・・①となる。xy=kと して双曲線。x,yは|z|=2、 半径2の

円周上の点だからxy=ky=xで 対象となる事により、最大最少はxy=k

が第1と第2象 限で接するときに取る。y=x に代入してx,y= を得る。xy=kに 代入でk= 2が出る。

①に代入してf(z)= となる。これが最大値と最小値。

問2:(1)  の式の形からtanθに 変換で上手くいきそうだと感じ取れる。x=tanθと おくと

xの 動く範囲からθは 0から を動く,積 分を2つ に分けて最初の方は となり後半は

から がでる。これらを積分すればよい。


(2) 2倍角の公式を使 えばよい。


感想:それ程難しいとは思え ない問題。受験者の大方が完答したのではと思われる。サービス問題で教科書等を

参考にして作成された問題に 思える。


20251001  北 大後期の問題














(1)これはいいでしょう。x=

(2)

最後の項で を使います。

(3)どう見ても帰納法だなと思わせる形です。普通に式変形をやっていくと、右辺の結論式にたどり 着けるはず

すがなかなか上手くいかない。受験生チョット焦ったのでは?これだと思って突っ込んでいくと失敗、 気持ちの切

り替えが大切と気付かせる問題です。()n=1はやらなくてもいいでしょう。() n=k成 立を仮定して

と用意 ()n=k+1の とき、f(x)の 定義と(2)を利用して

がでます。①があるので色々やっていくと結果的に なります。普通は、式変

形で①のkk+1にしたものが出ますがそうはいきません。何回か 失敗しました。発想を変えて

 から が言えればよいのです。

をカットして と置くと となります。この式が

成り立つことを証明すると終了です。 と置きます。これからは2次 関数の問題、 に注意し

グラフを描いてください。tの 範囲でyが正であることは見て取れます。












(1) θf(θ )それぞれの値はともに0、問題文からこの範囲で上に凸なグラフだろうと

予想ができる。微分して から、分子を因数分解した

の増減が決まる。2次式は虚数解をもちますので正となります。

したがって実数解は1-t=0か ら出ます。f’(θ)=0 を満たすθとなり

θ= と なります。これを に代入してお終いです。


(2) まず点の座標が(b,a)で 与えられていることに注意。PQ=1から

交 点の座標は、 ととなります。したがって、 ですから(1)の結果に戻ります。

交 点の座標が(b,a)に注意すれば意外と簡単かもしれません。










(1) 気付くには少し難 しい。解の和であるmがある値で抑えられる事 が分かっています。mが数値化

されるためには何をすればよいのかが問われているのです。直ぐ思いつくのは 解と係数の関係です。

となります。これでは数値化は出来ません。そこで式をジーット見ます。

で対称になっています。 で割ると対称式になります。

m= 、相加相乗平均をとると がでます。等号成立は

となります。αβの値はいいでしょう。